67.7K 3 weeks ago

DeepSeek-V4-Flash is a preview of the DeepSeek-V4 series, a Mixture-of-Experts model with 284B total parameters and 13B activated, built for efficient reasoning across a 1M-token context window.

tools thinking cloud
Usage
medium
Context
1M tokens
Size
158B parameters
ollama run deepseek-v4-flash:cloud

Applications

Claude Code
Claude Code ollama launch claude --model deepseek-v4-flash:cloud
Codex App
Codex App ollama launch codex-app --model deepseek-v4-flash:cloud
OpenClaw
OpenClaw ollama launch openclaw --model deepseek-v4-flash:cloud
Hermes Agent
Hermes Agent ollama launch hermes --model deepseek-v4-flash:cloud
Codex
Codex ollama launch codex --model deepseek-v4-flash:cloud
OpenCode
OpenCode ollama launch opencode --model deepseek-v4-flash:cloud

Models

View all →

Readme

DeepSeek-V4: Towards Highly Efficient Million-Token Context Intelligence

DeepSeek-V4-Flash is a preview of the DeepSeek-V4 series, a Mixture-of-Experts model with 284B total parameters and 13B activated, built for efficient reasoning across a 1M-token context window.

3 Thinking modes:

  • No thinking: used for fast, intuitive answers
  • Thinking: used for careful logical analysis
  • Max thinking: maximum reasoning effort on the hardest problems benchmark
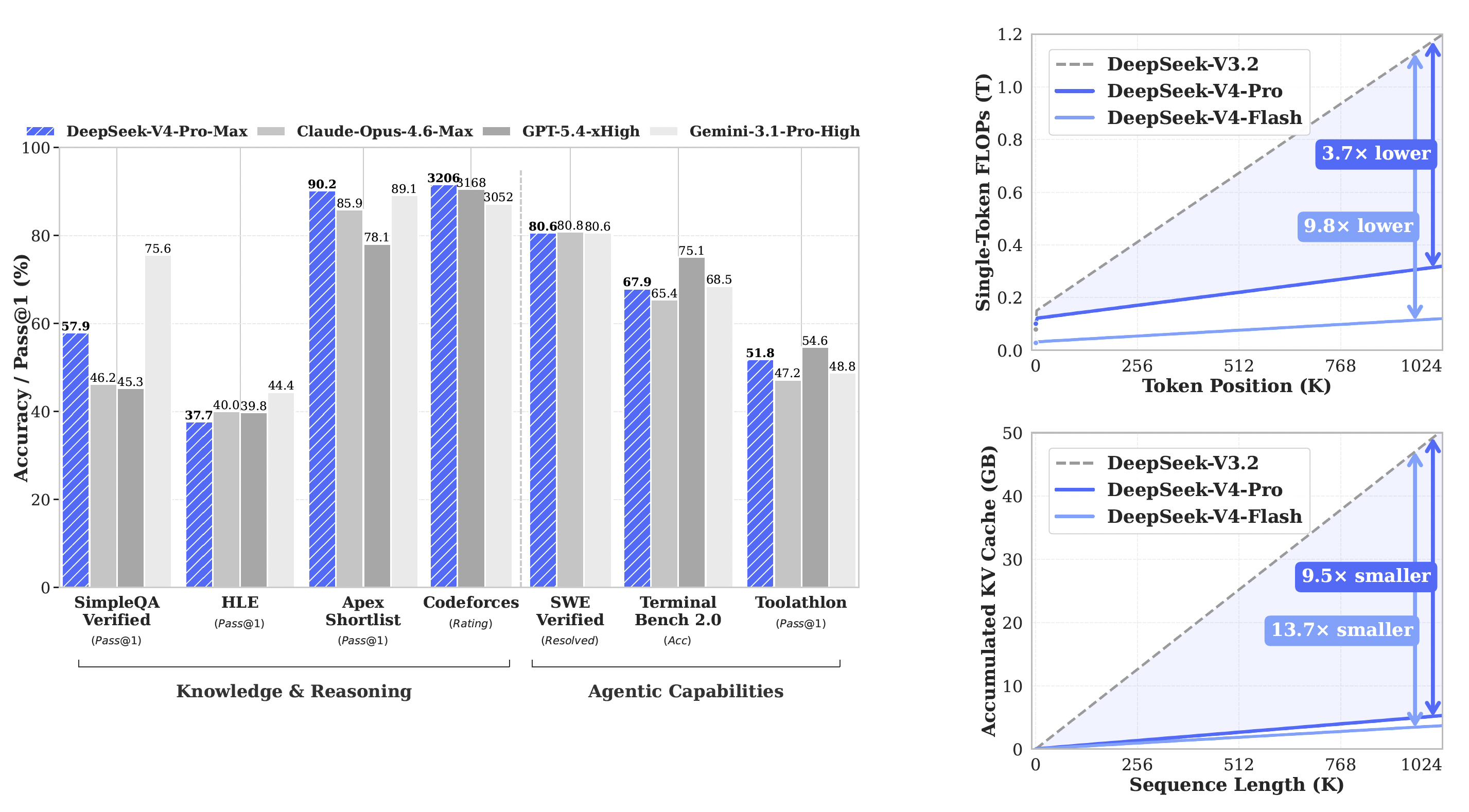
Benchmark (Metric) V4-Flash Non-Think V4-Flash High V4-Flash Max V4-Pro Non-Think V4-Pro High V4-Pro Max
Knowledge & Reasoning
MMLU-Pro (EM) 83.0 86.4 86.2 82.9 87.1 87.5
SimpleQA-Verified (Pass@1) 23.1 28.9 34.1 45.0 46.2 57.9
Chinese-SimpleQA (Pass@1) 71.5 73.2 78.9 75.8 77.7 84.4
GPQA Diamond (Pass@1) 71.2 87.4 88.1 72.9 89.1 90.1
HLE (Pass@1) 8.1 29.4 34.8 7.7 34.5 37.7
LiveCodeBench (Pass@1) 55.2 88.4 91.6 56.8 89.8 93.5
Codeforces (Rating) - 2816 3052 - 2919 3206
HMMT 2026 Feb (Pass@1) 40.8 91.9 94.8 31.7 94.0 95.2
IMOAnswerBench (Pass@1) 41.9 85.1 88.4 35.3 88.0 89.8
Apex (Pass@1) 1.0 19.1 33.0 0.4 27.4 38.3
Apex Shortlist (Pass@1) 9.3 72.1 85.7 9.2 85.5 90.2
Long Context
MRCR 1M (MMR) 37.5 76.9 78.7 44.7 83.3 83.5
CorpusQA 1M (ACC) 15.5 59.3 60.5 35.6 56.5 62.0
Agentic
Terminal Bench 2.0 (Acc) 49.1 56.6 56.9 59.1 63.3 67.9
SWE Verified (Resolved) 73.7 78.6 79.0 73.6 79.4 80.6
SWE Pro (Resolved) 49.1 52.3 52.6 52.1 54.4 55.4
SWE Multilingual (Resolved) 69.7 70.2 73.3 69.8 74.1 76.2
BrowseComp (Pass@1) - 53.5 73.2 - 80.4 83.4
HLE w/ tools (Pass@1) - 40.3 45.1 - 44.7 48.2
MCPAtlas (Pass@1) 64.0 67.4 69.0 69.4 74.2 73.6
GDPval-AA (Elo) - - 1395 - - 1554
Toolathlon (Pass@1) 40.7 43.5 47.8 46.3 49.0 51.8

Reference

DeepSeek-V4 technical report